继续教育-报名相关文件-2016甘南卫校教学点录取员工名单
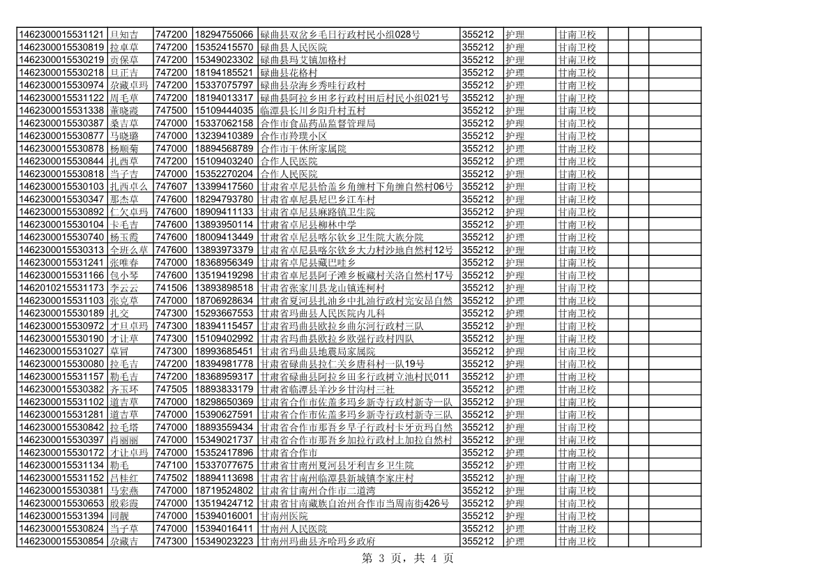
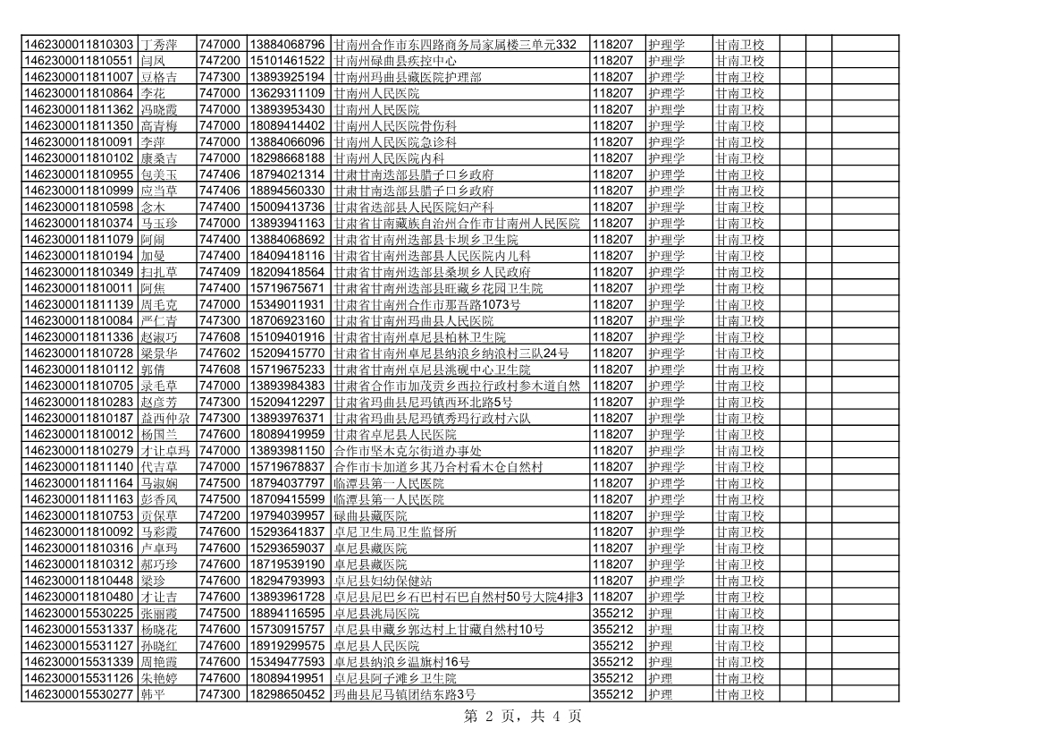
2016级威廉希尔继续教育公司甘南教学点录取员工名单
附件下载:2016级威廉希尔继续教育公司甘南教学点录取员工名单
Copyright WilliamHill·威廉希尔(英国)官方网站-Official Platform 版权所有 陇ICP备16002830号-2
公安部备案:62300102000079
地址:甘南藏族自治州合作市人民东街52号 电话:0931—8212947 邮编:747000